Chirality & Odour Perception
John C. Leffingwell, Ph.D.

The Homofuraneols I & II

You must have Java installed to view the molecular visualization on this page

Photo by permission of M. Roudintska - Art & Parfum

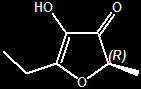
(2R)-(+)-Homofuraneol I - strong roast sweet

= (2R)-(+)-5-ethyl-4-hydroxy-2-methylfuran-3(2H)-one

A mixture of tautomers with unique keto-enol structures, 5-ethyl-4-hydroxy-2-methylfuran-3(2H)-one or 2-ethyl-4-hydroxy-5-methylfuran-3(2H)-one (EHMF, homofuraneol, I or II), comprises four structural isomers including their enantiomers. Racemic homofuraneol exists in two tautomeric forms through the keto-enol isomerization as Homofuraneol I and Homofuraneol II in a ratio of 1:3 to 1:2, which are in equilibrium with each other.

Only one isomer (R)-(+)-Homofuraneol I was found to have a strong roasted sweet scent.

The tautomeric mixture of Homofuraneols have an extremely low odor threshold (20 ppb). (Threshold reference from - Buttery RG, Huber UA, Teranishi R, Wick EL, Hornstein I, editors. Flavor chemistry and odor thresholds. Flavor chemistry, thirty years of progress. New York: Kluwer Academic/Plenum Publishers; 1999. p 353–365).

Ref: Kenji Monde, Atsufumi Nakahashi, Nobuaki Miura, Yaguchi Yoshihiro, Daisuke Sugimoto, Makoto Emura, Stereochemical study of a novel tautomeric furanone, homofuraneol, Chirality, Volume 21, Issue 0, Date: 2009, Pages: S110-S115

Furaneol® is a registered trademark of Firmenich SA

 

(2S)-(-)-Homofuraneol I - weak, roast sweet lactone like

= (2S)-(-)-5-ethyl-4-hydroxy-2-methylfuran-3(2H)-one

Ref: Kenji Monde, Atsufumi Nakahashi, Nobuaki Miura, Yaguchi Yoshihiro, Daisuke Sugimoto, Makoto Emura, Stereochemical study of a novel tautomeric furanone, homofuraneol, Chirality, Volume 21, Issue 0, Date: 2009, Pages: S110-S115

Furaneol® is a registered trademark of Firmenich SA

(2R)-(+)-Homofuraneol II - weak, clear sweet less roasted odor

= (2R)-(+)-2-ethyl-4-hydroxy-5-methylfuran-3(2H)-one

Ref: Kenji Monde, Atsufumi Nakahashi, Nobuaki Miura, Yaguchi Yoshihiro, Daisuke Sugimoto, Makoto Emura, Stereochemical study of a novel tautomeric furanone, homofuraneol, Chirality, Early View, 2009

Furaneol® is a registered trademark of Firmenich SA

(2S)-(-)-Homofuraneol II - weak, clear sweet less roasted odor

= (2S)-(-)-2-ethyl-4-hydroxy-5-methylfuran-3(2H)-one

Ref: Kenji Monde, Atsufumi Nakahashi, Nobuaki Miura, Yaguchi Yoshihiro, Daisuke Sugimoto, Makoto Emura, Stereochemical study of a novel tautomeric furanone, homofuraneol, Chirality, Early View, 2009

Furaneol® is a registered trademark of Firmenich SA

Cyclic Terpenoid Odorants

Bicyclic Terpenoid Odorants

Acyclic Terpenoid Odorants

Ionones, Irones, Damascones & Structurally Related Odorants

Acyclics (Alcohols, Esters, Acids, Aldehydes)

Lactones

Sesquiterpenoid Related Odorants

Steroid Urine Type Odorants

Sandalwood Type Odorants

Musk Odorants

Miscellaneous

HOME

Copyright 2001-2002 - Leffingwell & Associates