|
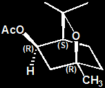
-3-acetoxy-1,8-cineole.gif)
(1S,3R,4R)-3-acetoxy-1,8-cineole
- sweet floral, weak
Also
called
(1S,4R,5R)-5-Acetoxy-1,8-cineole
=
(1S,3R,4R)-1,5,5-trimethyl-6-oxa-bicyclo[2.2.2]octan-3-yl
acetate
=
(1S,4R,5R)-1,3,3-trimethyl-2-oxabicyclo[2.2.2]oct-5-yl
acetate
Ref:
Kubota, Kikue, Yuki Someya, Reiko Yoshida,
Akio Kobayashi, Tetsu-ichiro Morita, and
Hiroyuki Koshino. "Enantiomeric Purity and
Odor Characteristics of 2-and 3-Acetoxy-1,
8-cineoles in the Rhizomes of Alpinia galanga
Willd." Journal of agricultural and food
chemistry 47, no. 2 (1999): 685-689; Kubota,
Kikue, Yuki Someya, Yoshiko Kurobayashi, and
Akio Kobayashi. "Flavor Characteristics and
Stereochemistry of the Volatile Constituents
of Greater Galangal (Alpinia Galanga
Willd.)." In Flavor Chemistry of Ethnic
Foods, pp. 97-104. Springer US,
1999
|
|
-3-acetoxy-1,8-cineole.gif)
(1R,3S,4S)-3-Acetoxy-1,8-cineole
- sweet floral, weak
Also
called
(1R,4S,5S)-5-Acetoxy-1,8-cineole
=
(1R,3S,4S)-1,5,5-trimethyl-6-oxa-bicyclo[2.2.2]octan-3-yl
acetate
=
(1R,4S,5S)-1,3,3-trimethyl-2-oxabicyclo[2.2.2]oct-5-yl
acetate
Ref:
Kubota, Kikue, Yuki Someya, Reiko Yoshida,
Akio Kobayashi, Tetsu-ichiro Morita, and
Hiroyuki Koshino. "Enantiomeric Purity and
Odor Characteristics of 2-and 3-Acetoxy-1,
8-cineoles in the Rhizomes of Alpinia galanga
Willd." Journal of agricultural and food
chemistry 47, no. 2 (1999): 685-689; Kubota,
Kikue, Yuki Someya, Yoshiko Kurobayashi, and
Akio Kobayashi. "Flavor Characteristics and
Stereochemistry of the Volatile Constituents
of Greater Galangal (Alpinia Galanga
Willd.)." In Flavor Chemistry of Ethnic
Foods, pp. 97-104. Springer US,
1999
|
|
|
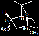
-3-acetoxy-1,8-cineole.gif)
(1S,3S,4R)-(+)-3-Acetoxy-1,8-cineole
- camphoraceous (Kubota, et al.);
camphor-like, smooth (Loandos et al.)
Also
called
(1S,4R,5S)-5-Acetoxy-1,8-cineole
=
(1S,3S,4R)-1,5,5-trimethyl-6-oxa-bicyclo[2.2.2]octan-3-yl
acetate
=
(1S,4R,5S)-1,3,3-trimethyl-2-oxabicyclo[2.2.2]oct-5-yl
acetate
Ref:
Kubota, Kikue, Yuki Someya, Reiko Yoshida,
Akio Kobayashi, Tetsu-ichiro Morita, and
Hiroyuki Koshino. "Enantiomeric Purity and
Odor Characteristics of 2-and 3-Acetoxy-1,
8-cineoles in the Rhizomes of Alpinia galanga
Willd." Journal of agricultural and food
chemistry 47, no. 2 (1999): 685-689; Kubota,
Kikue, Yuki Someya, Yoshiko Kurobayashi, and
Akio Kobayashi. "Flavor Characteristics and
Stereochemistry of the Volatile Constituents
of Greater Galangal (Alpinia Galanga
Willd.)." In Flavor Chemistry of Ethnic
Foods, pp. 97-104. Springer US, 1999;
Loandos, María del H., Margarita B.
Villecco, Eleuterio Burgueño-Tapia,
Pedro Joseph-Nathan and César A. N.
Catalán, Preparation and Absolute
Configuration of (1R,4R)-(+)-3-Oxo-,
(1S,4S)-(-)-3-Oxo- and (1R,3S,4R)-
(+)-3-Acetyloxy-5-oxo-1,8-cineole, Natural
product communications 4, no. 11 (2009):
1537-1545.
|
|
-3-acetoxy-1,8-cineole.gif)
(1R,3R,4S)-(-)-3-Acetoxy-1,8-cineole
- mild woody (Kubota, et al.); woody (Loandos et
al.)
Also called
(1R,4S,5R)-5-Acetoxy-1,8-cineole
=
(1R,3R,4S)-1,5,5-trimethyl-6-oxa-bicyclo[2.2.2]octan-3-yl
acetate
=
(1R,4S,5R)-1,3,3-trimethyl-2-oxabicyclo[2.2.2]oct-5-yl
acetate
Ref: Kubota,
Kikue, Yuki Someya, Reiko Yoshida, Akio
Kobayashi, Tetsu-ichiro Morita, and Hiroyuki
Koshino. "Enantiomeric Purity and Odor
Characteristics of 2-and 3-Acetoxy-1, 8-cineoles
in the Rhizomes of Alpinia galanga Willd."
Journal of agricultural and food chemistry 47,
no. 2 (1999): 685-689; Kubota, Kikue, Yuki
Someya, Yoshiko Kurobayashi, and Akio Kobayashi.
"Flavor Characteristics and Stereochemistry of
the Volatile Constituents of Greater Galangal
(Alpinia Galanga Willd.)." In Flavor Chemistry
of Ethnic Foods, pp. 97-104. Springer US, 1999;
Loandos, María del H., Margarita B.
Villecco, Eleuterio Burgueño-Tapia, Pedro
Joseph-Nathan and César A. N.
Catalán, Preparation and Absolute
Configuration of (1R,4R)-(+)-3-Oxo-,
(1S,4S)-(-)-3-Oxo- and (1R,3S,4R)-
(+)-3-Acetyloxy-5-oxo-1,8-cineole, Natural
product communications 4, no. 11 (2009):
1537-1545.
|
|