The delta-Octathionolactones

Chirality & Odour Perception
John C. Leffingwell, Ph.D.

The 4-(2-Bornyl)-2-methylcyclohexanones

You must have Java installed to view the molecular visualization on this page
Photo by permission of M. Roudintska - Art & Parfum

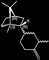
(+)-4-(2-endo-Bornyl)-2-methylcyclohexanone - very weakly urinous (near perception threshold)

On a relative basis the urinous intesity is about 1% that of Theimers urinous ketone - cis-4-(4-tert-Butylcyclohexyl)-4-methylpentan-2-one, or about 0.1% that of (+)-Androstenone

= (+)-2-methyl-4-[(1S,2R,4R)-1,7,7-trimethylbicyclo[2.2.1]hept-2-yl]cyclohexanone

Note - the authors indicate that the methyl group on the cyclohexanone can exist as either equitorial or axial; however the situation appears more complex as either oientation can also exist in both erythro and threo forms.

 Ref: Ernst T. Theimer, Takao Yoshida, and Erich M. Klaiber, Olfaction and Molecular Shape. Chirality as a Requisite for Odor, J. Agric. Food Chem., Vol. 25, No. 5, 1977, 1168-1177

(-)-4-(2-endo-Bornyl)-2-methylcyclohexanone - Not urinous, odorless (near perception threshold)

At high concentrations, the “urinous odorless” camphor derivatives became odorous to all subjects even the urinous anosmics, but the perception was "woody-camphoraceous" in all cases.

= (-)-2-methyl-4-[(1R,2S,4S)-1,7,7-trimethylbicyclo[2.2.1]hept-2-yl]cyclohexanone

Note - the authors indicate that the methyl group on the cyclohexanone can exist as either equitorial or axial; however the situation appears more complex as either oientation can also exist in both erythro and threo forms.

 Ref: Ernst T. Theimer, Takao Yoshida, and Erich M. Klaiber, Olfaction and Molecular Shape. Chirality as a Requisite for Odor, J. Agric. Food Chem., Vol. 25, No. 5, 1977, 1168-1177

(-)-4-(2-exo-Bornyl)-2-methylcyclohexanone - Not urinous, odorless (near perception threshold)

Both a solid isomer (with the cyclohexanone methyl group presumably being equitorial) and a liquid isomer (with the cyclohexanone methyl group presumably being axial) were isolated and individually evaluated for the urinous character - in both cases they were “urinous odorless”.

However the situation appears more complex as either oientation (axial or equitorial) can also exist in both erythro and threo forms.

At high concentrations, the “urinous odorless” camphor derivatives became odorous to all subjects, even the urinous anosmics, but the perception was "woody-camphoraceous" in all cases.

= (-)-2-methyl-4-[(1S,2S,4R)-1,7,7-trimethylbicyclo[2.2.1]hept-2-yl]cyclohexanone

 Ref: Ernst T. Theimer, Takao Yoshida, and Erich M. Klaiber, Olfaction and Molecular Shape. Chirality as a Requisite for Odor, J. Agric. Food Chem., Vol. 25, No. 5, 1977, 1168-1177

(+)-4-(2-exo-Bornyl)-2-methylcyclohexanone - Not urinous, odorless (near perception threshold)

Both a solid isomer (with the cyclohexanone methyl group presumably being equitorial) and a liquid isomer (with the cyclohexanone methyl group presumably being axial) were isolated and individually evaluated for the urinous character - in both cases they were “urinous odorless”.

However the situation appears more complex as either oientation (axial or equitorial) can also exist in both erythro and threo forms.

At high concentrations, the “urinous odorless” camphor derivatives became odorous to all subjects, even the urinous anosmics, but the perception was "woody-camphoraceous" in all cases.

= (+)-2-methyl-4-[(1R,2R,4S)-1,7,7-trimethylbicyclo[2.2.1]hept-2-yl]cyclohexanone

 Ref: Ernst T. Theimer, Takao Yoshida, and Erich M. Klaiber, Olfaction and Molecular Shape. Chirality as a Requisite for Odor, J. Agric. Food Chem., Vol. 25, No. 5, 1977, 1168-1177

Cyclic Terpenoid Odorants

Bicyclic Terpenoid Odorants

Acyclic Terpenoid Odorants

Ionones, Irones, Damascones & Structurally Related Odorants

Acyclics (Alcohols, Esters, Acids, Aldehydes)

Lactones

Sesquiterpenoid Related Odorants

Steroid Urine Type Odorants

Sandalwood Type Odorants

Musk Odorants

Miscellaneous

HOME

Copyright 2001 - Leffingwell & Associates