Chirality & Odour Perception
John C. Leffingwell, Ph.D.

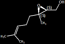
The 2,3-Epoxygeraniols

You must have Java installed to view the molecular visualization on this page

Photo by permission of M. Roudintska - Art & Parfum

(2S,3S)-(+)-Epoxygeraniol - green-rosy

 Ref: Makoto Emura, Isao Nohara, Takaaki Toyoda and Tsuneyoshi Kanisawa, The Volatile Constituents of the Coffee Flower (Coffea arabica L.), FLAVOUR AND FRAGRANCE JOURNAL, VOL. 12, 9-13 (1997)

 

(2R,3R)-(-)-Epoxygeraniol - floral-rosy

 Ref: Makoto Emura, Isao Nohara, Takaaki Toyoda and Tsuneyoshi Kanisawa, The Volatile Constituents of the Coffee Flower (Coffea arabica L.), FLAVOUR AND FRAGRANCE JOURNAL, VOL. 12, 9-13 (1997)

Cyclic Terpenoid Odorants

Bicyclic Terpenoid Odorants

Acyclic Terpenoid Odorants

Ionones, Irones, Damascones & Structurally Related Odorants

Acyclics (Alcohols, Esters, Acids, Aldehydes)

Lactones

Sesquiterpenoid Related Odorants

Steroid Urine Type Odorants

Sandalwood Type Odorants

Musk Odorants

Miscellaneous

HOME

Copyright 2001-2002 - Leffingwell & Associates